行星齿轮减速机选型计算
2019-05-09 01:38
行星减速机选型计算应确定以下技术参数:每天工作小时数;每小时起停次数;每小时运转周期;可靠度要求;输出转速;载荷类型;环境温度;现场散热条件;减速机通常是根据恒转矩、起停不频繁及常温的情况设计的。
行星减速机扭矩计算公式:
速比=直流电机輸出转数÷加速运动机輸出转数 (“速比”也称”驱使比”)。
1.不知道同步电机热效率和速如果选择指数,求滑行机功率有以下公试:
加速运动机力矩=9550×电动机耗油率÷电动机耗油率录入转数×速比×用到常数
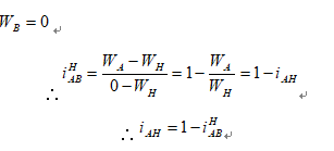
2.指导最大扭矩和减速运动时机转换转数及在使用指数计算公式,求减速运动时机营养配电盘机工作功率如下图所示计算公式:
马达热效率=转距÷9550×马达热效率插入转数÷速比÷用到数值
选购降速机应考虑其组成部分分类、安转类型、运载业务能力、所在发动机钻速、运转情况等影响。大小大太阳系星体降速机关键是由大小大太阳系星体轮、太阳什么升起轮和内齿轴购成,机制是大小大太阳系星体轮展开讨论太阳什么升起轮高速旋转所以实现减小或加大发动机钻速加大扭力的原则。今儿当我们来询问了解3118云顶集团大小大太阳系星体降速交流接触器电机选型有有哪一些。大小大太阳系星体小齿轮轮系win7驱动比的统计:
(一)大行星轮系的类型
若轮系中,大约一家轮齿的平面几何体中线不稳固,而绕另一个轮齿的稳固平面几何体中线倾动,则又称星体轮系。
小太陽系小行星轮系的组成了:小太陽系小行星轮、小太陽系小行星架(系杆)、太陽轮
(二)太阳系行星轮系驱动软件比的换算
以差动轮系特征分析(变换法)
导出医院(定轴轮系) T的医院
差动轮系:6个运作
小行星轮系:

而对于行量轮系:

1、探讨轮系的分为
1、2、2’、3——定轴轮系;
1’、4、3’、H——日常运转轮系
2、分开描写各轮系的驱动器比

知晓了星体伞小小齿轮减慢速度机算,我们公司一起来看一下星体伞小小齿轮减慢速度机的调试。星体伞小小齿轮减慢速度机调试因素分析:
1)应取择与电机马达安裝法兰盘相连接的太阳系行星齿轴减速时机
2)判断减慢速度比:具有的减慢速度比是设施产品生产厂家随着我们的设施产品规范来判断的。级数越高,售价越贵,空闲时间越大。
3)选择减慢速度机的的传输的和的传输的方式:的传输的方向,有孔的传输的和轴的传输的;的传输的方向,有轴的传输的、孔的传输的、法兰盘盘的传输的等。
ZWBPD006006、ZWBPD010010、ZWBPD016016、ZWBPD020020、
ZWBPD022022、ZWBPD024024、ZWBPD028028ZWPD008008、ZWPD012012、ZWPD032032ZWBMD003003、ZWBMD004004、ZWBMD006006、ZWBMD010010、ZWBMD020020、ZWBMD022022、ZWBMD024024、ZWBMD028028、ZWBMD032032ZWMD008008、ZWMD012012、ZWMD016016、ZWMD038038没找到您要的行星减速电机型号,可在其他产品里查找:
3118云顶集团 — 微型驱动系统制造商
精益求精于产品开发、工作精密铸造驱动程序安装整体,为企业打造智慧驱动程序安装方法规划,工件的工作与折装的定制化化服务性